Plattform für Wasser, Gas und Wärme
Fachartikel
12. April 2026

Schwammstadt

Regenwasserretention mit Steinwolle

Das Schwammstadt-Konzept basiert vor allem auf der Regenwasserretention. Untersuchungen zeigen, dass Steinwolle ein neues Schwammstadtelement für die urbane Klimaanpassung ist. Sie speichert Wasser, reduziert Abflussspitzen und bietet den Pflanzen einen Wurzelraum. Die Wasserspeicherung überbrückt deshalb Trockenphasen und begünstigt so das Pflanzenwachstum.
Michael Burkhardt, Natalia Duque, Peter Bach Elia Ceppi, 

Das Schwammstadt-Konzept steht im Zentrum der Klima-anpassung und nachhaltigen Regenwasserbewirtschaftung von Schweizer Städten und Gemeinden [1, 2]. Sowohl das Bundesamt für Umwelt (BAFU) als auch der Schweizerische Verband für Abwasser- und Gewässerschutzfachleute (VSA) haben hierzu wichtige Initiativen lanciert.

Die Grundlage des Konzepts bildet die Nachahmung des natürlichen Wasserkreislaufs durch den Einsatz verschiedener blau-grüner Gestaltungselemente im Strassenraum, an Gebäuden und auf Grundstücken. Diese Elemente sollen Niederschlagswasser zurückhalten, versickern lassen, verdunsten, langsam ableiten und die Kanalisation entlasten [3, 4]. Grünflächen fördern die Aufenthaltsqualität, erhöhen die Biodiversität und mindern durch Verdunstungskühlung die Hitze. Dies sind wichtige Ökosystemdienstleistungen. Werden die verschiedenen Anforderungen an die blau-grünen Gestaltungselemente erfüllt, entstehen multifunktionale Systeme, die modular und anpassungsfähig gestaltet werden können [5, 6].

Massnahmen zur Regenwasserretention sind heute weit verbreitet und innovative Produkte werden von Firmen angeboten. Dazu zählen beispielsweise ober- und unterirdische Massnahmen, die die Abflussspitzen dämpfen sollen. Unterirdische Massnahmen sind platzsparend und daher im verdichteten Siedlungsraum weit verbreitet. Solche Produkte können die Umsetzung der Schwammstadt-Strategie in Schweizer Gemeinden beschleunigen und zugleich zur Nachhaltigkeit beitragen.

Zu den etablierten Lösungen zählen Kiesrigolen, Sickerblöcke, Sickerschächte sowie Zisternen aus Kunststoff oder Beton. Sie ermöglichen eine erhöhte Versickerung, Speicherung und Rückhaltung. Im Ausland sind auch Systeme aus Steinwolle verbreitet [7, 8]. Sie zeigen, dass Steinwolle anderen Systemen in puncto Speicherfähigkeit, Modularität und Vielfalt der Anwendungen in nichts nachsteht.

Anwendungsbereiche von Steinwolle 

Steinwolle ist ein leichtes, aber dichtes, anorganisches Mineralwollematerial. Der Herstellungsprozess beginnt mit dem Schmelzen von Gesteinen bei ca. 1500 °C. Steinwolle besteht zu einem Drittel aus recyceltem Material, wodurch sich der Materialkreislauf schliesst [9]. Anschliessend wird das geschmolzene Gestein zu Wolle verarbeitet (Fig. 1). Durch die Zugabe eines geringen Anteils an Bindemittel im Verdichtungsprozess entstehen hochporöse Platten. Für die Anwendung im Bereich der Gebäudedämmung wird ein hydrophobes und für wasserbezogene Anwendungen ein hydrophiles Bindemittel verwendet [10].

Steinwolle ist aufgrund ihrer Formbarkeit und hohen Porosität vielseitig einsetzbar. In Europa wird das Material bereits seit Jahrzehnten als Wasserspeicher verwendet, beispielsweise als Stecklings-Tray und Wachstumsmedium in der Pflanzen- und Lebensmittelproduktion, für Dach- und Fassadenbegrünungen sowie zur Regenwasserretention [8, 11, 12, 13]. In der Hydroponik gilt Steinwolle als ideales Wachstumsmedium, da sie chemisch inert ist (was für den Anbau von Lebensmitteln wichtig ist), die Durchwurzelung von Pflanzen fördert und dank ihrer Kapillarität eine gute Wasser- und Nährstoffversorgung ermöglicht. Verbreitet ist die Verwendung von Stauden und kleineren Pflanzen, beispielsweise im Gemüsebau (Hors-Sol). Das Material wird hingegen selten bei grösseren Pflanzen (z. B. Sträucher, Bäume) eingesetzt. Aufgrund ihrer Tragfähigkeit eignet sich Steinwolle auch für den Einbau als Retentionskörper in Strassenräumen.

Das Produkt RockflowTM von Rockwool wurde bereits in Hunderten von Installationen zur Regenwasserretention im Verkehrsraum und auf Grundstücken in Ländern wie Deutschland, den Niederlanden, Dänemark und Italien eingesetzt (Fig. 1) [14]. Dadurch wird die Kanalisation entlastet, und das Regenwasser kann versickern oder den Pflanzen zur Verfügung gestellt werden.

Aufbauend auf diesen Eigenschaften hat die Flumroc AG in Flums SG für den Schweizer Markt das Produkt AGUA mit hydrophilen Eigenschaften und einer spezifischen Dichte und Wollestruktur entwickelt. Es basiert auf dem RockflowTM-Produkt. Das primäre Gestein stammt überwiegend aus Graubünden.

In der Schweiz ist die Verwendung von Steinwolle zur Gebäudedämmung und zur Gemüse- bzw. Pflanzenproduktion weit verbreitet, die Regenwasserretention spielt hingegen kaum eine Rolle. Dies wird oft auf offene Fragen zur Eignung und Funktionalität von Steinwolle als Schwammstadtkörper zurückgeführt. So ist beispielsweise unklar, wie hoch die Abflussretention ist, in welchem Ausmass gelöste Schadstoffe gebunden oder Stoffe freigesetzt werden, wie hoch die Verdunstungsleistung ausfällt und ob die Wasserdurchlässigkeit durch Kolmation beeinträchtigt wird.

Untersuchungsziele 

Im Auftrag des Kantons Schwyz (Amt für Gewässer, Abteilung Gewässerschutz), der Gemeinde Schwyz, des Abwasserverbands Schwyz und der Firma Flumroc AG wurde die Leistungsfähigkeit von Steinwolle untersucht, um das Anwendungspotenzial dieses Materials als neues Element der Schwammstadt in der Schweiz zu evaluieren.

Im Labor wurden vor allem die Stoffbindung und -freisetzung analysiert. Darüber hinaus wurde auf dem Gelände der Abwasserreinigungsanlage (ARA) Schwyz in Seewen eine Versuchsanlage mit AGUA-Steinwolle über einen Zeitraum von 18 Monaten betrieben, um das hydrologische Verhalten unter realen Bedingungen zu erfassen. Die Ökosystemleistung wurde sowohl bilanziert als auch extrapoliert, um die Ergebnisse auf andere Standortbedingungen übertragen zu können.

Die Anlage diente darĂĽber hinaus der Sensibilisierung fĂĽr das Schwammstadtprinzip im Kanton Schwyz, da sie die Regenwasserretention, die Versickerung, die Verdunstung sowie das Pflanzenwachstum veranschaulichte.

Auswaschverhalten

Vorgehen

Um ein vertieftes Verständnis für die mögliche Freisetzung problematischer Stoffe, insbesondere des Bindemittels, in die Umwelt zu erlangen, wurde die Stofffreisetzung mithilfe der dynamischen Auslaugprüfung (Dynamic Surface Leaching Test, DSLT) untersucht [15]. Dieser europaweit harmonisierte Auswaschtest für Baumaterialien wird in der Schweiz bisher kaum verwendet [16].

Im Testverfahren wurde die Steinwolle achtmal hintereinander über einen Zeitraum von insgesamt 64 Tagen mit deionisiertem Wasser eluiert (Fig. 2). Dabei nahm die Wasserkontaktzeit von anfänglich sechs Stunden auf 28 Tage beim letzten Wasserwechsel zu.

Die acht Eluate wurden u. a. auf die Basisparameter pH-Wert, elektrische Leitfähigkeit, gelöster und totaler organischer Kohlenstoff (DOC, TOC) sowie auf acht Metalle (Gesamtgehalt) analysiert. Darüber hinaus wurden die vereinigten Eluate aus dem ersten und zweiten Auswaschungszyklus sowie aus dem achten (letzten) Auswaschungszyklus in Biotests mit Leuchtbakterien (Biolumineszenz), Wasserflöhen (Fortpflanzung) und Algen (Wachstum- und Photosynthese) untersucht, die für Eluate von Baumaterialien empfohlen werden [17].

Die Bewertung der Biotest-Resultate erfolgte auf Basis der vorgegebenen G-Werte. Ein G-Wert gibt an, um welchen Faktor eine Probe maximal verdĂĽnnt werden darf, damit der Effektschwellenwert nicht mehr ĂĽberschritten wird. Als Grenzwert fĂĽr die Eluate, bis zu denen kein Risiko fĂĽr Organismen erwartet wird, geltenG > 4 fĂĽr Algen und Daphnien und G > 8fĂĽr Leuchtbakterien.

Um das Vorkommen von Kupfer, Zink und DOC im Sickerwasser eines Systemaufbaus mit Pflanzsubstrat und Steinwolle zu ermitteln, wurde ein Einstauversuch unter realen Bedingungen mit einer Wassersättigung von etwa 65% der Steinwolle durchgeführt. Dabei wurden eine Stichprobe des ersten Abflusses sowie eine Mischprobe des gesamten Abflusses auf DOC, Zink und Kupfer analysiert.

Ergebnisse

Von den acht analysierten Elementen waren Blei, Kupfer und Zink nicht nachweisbar. Chrom, Arsen und Nickel konnten nur in einzelnen Proben in Konzentrationen nahe der Bestimmungsgrenze von jeweils 5 bis 20 µg/l nachgewiesen werden. Die Aluminium- und Eisenkonzentrationen in den Eluaten nahmen nach dem ersten Zyklus leicht ab und schwankten in den ersten sechs Zyklen um etwa 270 µg/l bzw. 120 µg/l. Gegen Ende des Versuchs stiegen die Konzentrationen, da durch die lang andauernden Schüttelbewegungen Materialablösungen auftraten.

Der Konzentrationsverlauf des DOC ist in Figur 2 dargestellt. Die Konzentrationen liegen zwischen 2 und 20 mg/l. Die höchsten Werte traten bei den ersten beiden, den zugleich kürzesten Wasserkontaktzeiten auf. Dieses Verhalten lässt sich durch eine rasche Abwaschung erklären. Anschliessend stiegen die Konzentrationen leicht an, da sich das Material beim siebten und achten Zyklus durch die 20- und 28-tägige Schüttelbewegung auflöste bzw. das Bindemittel ablöste. Zu Beginn des Tests entsprach der DOC etwa 90% des TOC. Dieses Verhältnis nahm im Laufe des Tests ab und betrug im letzten Zyklus nur noch etwa 60%.Demnach beeinflusst nur das methodische Vorgehen und nicht das Stoffverhalten den Konzentrationsverlauf.  

Die Biotests ergaben keine Überschreitung der für Baumaterialien definierten G-Wirkungsschwellen und somit keine negativen biologischen Effekte. Die DOC-Freisetzung ist daher nicht mit effektbasierten Stoffen verbunden. Ergänzende Analysen ergaben auch keine Freisetzung von PFAS.

Unter realen Einbaubedingungen wurden die Zulaufkonzentrationen von 0,003 mg/l Kupfer und 0,09 mg/l Zink nicht verändert, vom DOC (3,4 mg/l) nur leicht erhöht. Das Sickerwasser aus dem Systemaufbau mit Pflanzsubstrat und Steinwolle bestätigt demnach die Auswaschuntersuchungen.

Aufgrund der vorliegenden Kenntnisse und internationalen Erfahrungen kann davon ausgegangen werden, dass die Regenwasserretention mit Steinwolle nicht zu einer Verunreinigung der Gewässer führt. Dabei ist zu berücksichtigen, dass derart umfassende Untersuchungen für Baumaterialien in der Schweiz eine absolute Ausnahme darstellen und richtungsweisend sind.

Schadstoffbindung 

Vorgehen

Die Schadstoffbindung wurde mittels eines SchĂĽtteltests (Batch) sowie des auf der ARA-Schwyz installierten Systems bestimmt.

Mithilfe der Batchversuche sollte geklärt werden, wie gut Steinwolle die umweltrelevanten Schwermetalle Kupfer und Zink in gelöster Form binden kann. Dafür wurden drei Steinwollprodukte (Rockflow und AGUA mit Kunstharzbindemittel sowie Futuro mit Naturharzbindemittel) im Vergleich zu granuliertem Eisenhydroxid (Bayoxide E IN 20) untersucht. Um eine homogene Probe zu erhalten und eine maximale Oberfläche zur Adsorption bereitzustellen, wurden die Materialien im Mörser zerkleinert. Die Schüttelversuche erfolgten bei einem Feststoff-/Flüssigkeitsverhältnis von 1:1000 und einer Anfangskonzentration von 10 mg/l in Doppelbestimmung. Nach 30, 60 und 120 min Schüttelzeit wurde jeweils der Überstand beprobt und analysiert. Die Materialien wurden bei pH-Wert 6,0 untersucht, damit die Stoffe nicht ausfallen.

Beim Systemaufbau wurden drei Prüfregen (Klein-, Land- und Starkregen), wie sie für die VSA-Leistungsprüfung von Adsorberanlagen verwendet werden, mit einer kontinuierlichen Stoffdosierung aufgebracht. Die Stofflösung orientierte sich ebenfalls an der Leistungsprüfung und umfasste Quarzmehl (Millisil W4, D50 < 63 µm), das die gesamte ungelöste Stofffraktion (GUS) simulieren sollte, sowie die Schwermetalle Zink und Kupfer (gelöst) und die Mikroverunreinigungen Diuron und Mecoprop (MCPP). Vom Ablaufwasser jeder Regenspende wurde eine Mischprobe analysiert.

Ergebnisse

Die Elimination der Schwermetalle im Batchversuch liegt für die Steinwolle, bereinigt um den Verfahrensblindwert, zwischen 0 und 5% (Fig. 3). Bei den drei Versuchsansätzen wurde über die Adsorptionszeit keine eindeutige Änderung beobachtet. Der Adsorber auf Basis von Eisenhydroxid erreichte hingegen eine hohe Elimination von > 60% bzw. 95% für Kupfer und Zink. Die Ergebnisse zeigen somit, dass von Steinwolle trotz ihres Eisengehalts keine relevante Bindung von Kupfer und Zink zu erwarten ist.

Beim Steinwolle-Aufbau wurde festgestellt, dass beim Kleinregen im Ablauf alle Konzentrationen geringer als im Zulauf waren. Bei höheren Intensitäten von Land- und Starkregen war jedoch nur der Rückhalt von Kupfer hoch (> 90%), der von Zink mittel und der von Mikroverunreinigungen gering. Bei den Prüfregen beruht die Rückhaltung der Stoffe nicht auf einer chemischen Bindung. Das bereits vorhandene Wasser in der Steinwolle verdünnte in der Folge die Konzentrationen im Ablauf. Da Kupfer erst bei einem pH-Wert von 8 im betrachteten Konzentrationsbereich ausfällt und Zink nur teilweise, kann der Rückhalt auch nicht darauf zurückgeführt werden. Die fehlende Adsorption der Mikroverunreinigungen entspricht den Erwartungen an eine rein mineralische Faser. Das Ergebnis bestätigt zudem, dass auch Steinwolle mit Bindemittel keine Mikroverunreinigungen zurückhält. Quarzmehl (Millisil W4) wurde hingegen zu mehr als 99% herausgefiltert. Die Kompaktheit des Materials kann bedeuten, dass das Feinmaterial bereits an der Aussenseite der Steinwolle in der Anwendungspraxis abgetrennt wird, wie sich in der Feldinstallation zeigte (s.u.).

Demnach eignet sich Steinwolle nicht für die Regenwasserbehandlung, da keine nennenswerte Schadstoffbindung zu erwarten ist. Das Material muss nicht speziell entsorgt werden, sondern kann in den regulären Recyclingprozess von Flumroc zurückgeführt werden.

Bei der Verwendung in blau-grünen Infrastrukturen muss jedoch der Schadstoffrückhalt berücksichtigt werden, sofern am Standort behandlungsbedürftiges Niederschlagswasser anfällt. Hierfür bietet sich eine Kombination mit Boden (Ober-/Unterboden), Adsorberanlagen oder entsprechend geeigneten Pflanzsubstraten an.

Regenwasserretention im Monitoring

Vorgehen

Auf dem Gelände der ARA-Schwyz in Seewen SZ wurde eine Versuchsanlage (Grundfläche 1,2 × 1,2 m) aufgebaut, um das Abflussverhalten, die Verdunstung (Evaporation) und die Durchwurzelung zu untersuchen (Fig. 4).

An einer Seite der Anlage befindet sich ein Abflussventil, das sich beliebig regulieren lässt. Es wurden drei Schichten eingebaut (von oben):

  • 20 cm Pflanzsubstrat (ZĂĽrcher Substrat A2): WasserrĂĽckhalt 60 l/m2, Wasserhaltekapazität: 20 l/m2
  • 45 cm AGUA-Steinwolle (drei Platten, je 15 cm): WasserrĂĽckhalt 427 l/m2, Wasserhaltekapazität: 43 l/m2
  • 5 cm Kies: Drainageschicht


Das Pflanzsubstrat besteht aus einer Mischung aus Gestein, Land- und Schwarzerde sowie kompostierter Pflanzenkohle. Für die Bepflanzung wurden 13 Pflanzen ausgewählt, darunter acht verschiedene Staudenarten. Auf zusätzliche Düngung oder Bewässerung wurde verzichtet.

Das Wetter, die Bodenfeuchte, der Wasserzufluss und -abfluss sowie das Gewicht der Rigole wurden kontinuierlich erfasst. Die Bodensonde erfasste in Abständen von 5 bzw. 10 cm bis zu einer Tiefe von 50 cm die Bodenfeuchte, die Bodentemperatur und die elektrische Leitfähigkeit des Bodens. Die Wetterstation war in einer Entfernung von drei Metern platziert. Über einen Datenlogger wurden alle Messdaten gesammelt und an einen Raspberry Pi-Computer weitergeleitet.

Die kontinuierliche Überwachung erfolgte über einen Zeitraum von 520 Tagen (9.4.2024 bis 11.9.2025). In den ersten 48 Tagen wurde die Wasserbilanz ausschliesslich durch den direkten Niederschlag beeinflusst. Anschliessend wurde der Zufluss durch eine angeschlossene Dachfläche erhöht. Mit dieser Dachfläche wurde das Verhältnis von Entwässerungs- zu Versickerungsfläche von 3:1 simuliert (Verhältnis Dachfläche (m2) zu Speichervolumen (m3) von ca. 10:1).

Abflussverhalten mit Anschlussfläche

Während der 472 Tage andauernden Erfassungsperiode mit Dachanschluss wurden 102 Ereignisse aufgezeichnet. Aufgrund der vergrösserten Anschlussfläche ist von etwa der vierfachen Wassermenge auszugehen.

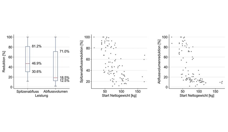
Bezogen auf die Spitzenabflussdämpfung aller Abflussereignisse beträgt der Medianwert etwa 47%, wobei er im unteren Quartil bei rund 30% und im oberen Quartil bei 80% liegt (Fig. 5). Der Medianwert der Reduktion des Abflussvolumens ist mit rund 20% deutlich geringer. Die Schwankungen für das untere bzw. obere Quartil liegen zwischen 10 und 70%.

Wird die hydraulische Leistung ĂĽber die gesamte Ăśberwachungsperiode kumulativ betrachtet, ergibt sich eine Retentionsleistung von 21%. Dies beruht darauf, dass Regenereignisse zwar zu einem Zufluss, aber zu keinem Abfluss fĂĽhren. Die abflusslosen Ereignisse wurden gespeichert bzw. sind direkt verdunstet.

Die Gewichtsänderung steht in leicht negativer Korrelation mit der Reduktion des Spitzenabflusses und des Abflussvolumens (Fig. 5). Dies lässt sich damit erklären, dass die Retentionswirkung der Steinwolle von der Höhe der Vorsättigung beeinflusst wird. Je höher das System vorgesättigt ist, desto geringer ist die Retentionswirkung. Dabei ist selbst bei einer Vorsättigung von 30 bis 50% noch eine Retentionsleistung nachweisbar. Dies ist für den Einsatz als Schwammstadt-Element relevant, da die Steinwolle den Abfluss kontinuierlich entlastet. Im vorgestellten Pilotaufbau ohne allseitiger Drainagewirkung liegt die Wassersättigung in der Steinwolle häufig bei 30 bis 80%. Eine Zulaufmenge von mehr als30 mm konnte mit dem angewendeten Systemaufbau daher nur eingeschränkt gepuffert werden.

Um die Abflussdynamik und die Bedeutung der Steinwolle als Retentionsspeicher besser zu verstehen, wurden einige Ereignisse exemplarisch ausgewählt (Fig. 6).So ist die Spitzenabflussdämpfung hervorzuheben. Zum Zeitpunkt des maximalen Zuflusses wird die Abflussspitze deutlich reduziert. Diese Dämpfung und Reduktion kann sich im Verlauf eines Ereignisses sogar wiederholen. Dabei umfasst die Abflusskurve (grün) ein deutlich kleineres Volumen als der Niederschlag (blau). Die Verzögerung des Abflusses ist unterschiedlich stark ausgeprägt und hängt von der Regenintensität ab. Die Abflussspitze tritt erst nach dem maximalen Regen bzw. der maximalen Zuflussmenge auf.

Wasserrückhalt und Saisonalität

Zwischen dem oberen Pflanzsubstrat, das eine geringere Bodenfeuchte (und somit Wasserspeicherung) aufweist, und der stark gesättigten Steinwolle mit nur geringen Feuchteschwankungen besteht ein grosser Unterschied im Wasserrückhalt (Fig. 7). Die Substratschicht zeigte kürzere, aber deutlichere Schwankungen. Während das Pflanzsubstrat nur wenig Wasser speichern konnte, sich rasch der Sättigung näherte und regelmässig austrocknete, blieb die Steinwolle über das gesamte Jahr hinweg feucht. Die Steinwolle wirkte als stabiler Tiefenspeicher. Niederschlagsarme Zeiträume und die hohen Temperaturen in der Versuchsanlage hatten daher keinen negativen Einfluss auf die Vitalität der Pflanzen.

Aufgrund der Eigenschaften des Substrats ist davon auszugehen, dass die 20 cm starke Schicht bis zu 60 l Wasser speichern kann. Bei einem angenommenen Porenvolumen von 30% wurde die maximale Wasserhaltekapazität während der Messperiode häufiger überschritten (Fig. 7). Steinwolle mit einem Porenvolumen von 95% und einer Mächtigkeit von 45 cm kann hingegen rund 430 l Wasser speichern. Der Medianwert erreichte jedoch nur rund 60% (270 l) bzw. maximal rund 70% (310 l). Da die Wasserhaltekapazität im Substrat regelmässig überschritten wurde, ist offensichtlich, dass entsprechend häufig das Niederschlagswasser in die Steinwolle versickerte. Dies unterstreicht auch der Abfluss aus dem Schacht.

Die Werte in der Steinwolle übersteigen die unter freidrainierenden Bedingungen erwartete Wasserhaltekapazität von 10% erheblich. Grund dafür war die gedrosselte Abflussrate durch das Ventil. Diese Situation entspricht eher einer gering durchlässigen Umgebung (lehmig) oder einer geschlossenen Einbauweise (eingehüllt). In einer gut wasserdurchlässigen Umgebung kann das Wasser hingegen ungehindert nach unten und seitlich versickern.

Der Wasserrückhalt bzw. die Wassersättigung wurden nicht nur durch die Ereignisse beeinflusst. Es traten auch unterschiedlich grosse Schwankungen auf, die von der Jahreszeit abhängig waren (Fig. 8). So schwankte die Wassersättigung im Substrat im Frühjahr beispielsweise deutlich stärker als im Herbst und Winter. Im Frühjahr erreichte der Sättigungsgrad der Steinwollschicht ein Minimum von rund 40%, im Sommer hingegen ein Maximum von über 70%. Dafür waren im Sommer starke Regenfälle verantwortlich.

 

Evapotranspiration

Als Evapotranspiration (ET) wird der Prozess bezeichnet, bei dem Wasser von Boden-, Wasser- und Pflanzenoberflächen in die Atmosphäre gelangt. Zusätzlich umfasst sie die Transpiration, also die Abgabe von Wasserdampf durch Pflanzen.

Bei unterirdischen Retentionsmassnahmen ist in der Regel keine ET-Wirkung zu erwarten, da es sich entweder um geschlossene Systeme (Hohlkörper, Zisternen) oder sehr grobkörnige Systeme (Kiesrigole) handelt. Erst ein durchwurzelbares System mit kapillarem Wasseraufstieg könnte die Systemleistung verändern.

Weder die Verdunstung noch die Transpiration werden in der Regel direkt gemessen, sondern sie werden rechnerisch abgeleitet. Drei Ansätze zur Ermittlung der Evapotranspiration wurden genutzt, wobei zwei auf Messdaten vor Ort basieren und einer auf einem empirischen Modell beruht:

  • Massenbilanz: Gewichtsänderung während Trockenperioden
  • Wasserbilanz: Differenz der Zu- und Abflussmengen
  • Modell: Berechnung nach Penman-Monteith


Der Verlauf der Evapotranspiration über die Zeitspanne des Monitorings ist in Figur 9 dargestellt. Jeder Balken entspricht der Evapotranspiration während einer Trockenperiode unterschiedlicher Länge und Intensität. Aus der hier nur vorgestellten robustesten Methode, der gravimetrischen Massenbilanzänderung, ergibt sich eine mittlere Evapotranspirationsrate von rund 1,0 mm pro Tag mit einem Maximum von rund 8 mm pro Tag. Dieses Maximum wurde im Sommer beobachtet.

Der Beginn und das Ende eines Verdunstungsereignisses konnte nicht immer eindeutig abgegrenzt werden. Die Werte sollten daher nur einer Orientierung dienen.

Die relativ hohen Werte im Dezember sind nicht plausibel. Sie beruhen auf der Ungenauigkeit der Bilanzierung, die durch die Akkumulation und den Schmelzvorgang von Schnee bedingt ist.

Validierung der Wasserbilanz 

Vorgehen

Im Labor wurde bei drei Regenspenden der Zulauf und der Abfluss der drei Steinwolleschichten erfasst. Zur Ermittlung der Retentionswirkung im Feld wurde die Steinwolle im Systemaufbau zweimal bis nahe der Wassersättigung eingestaut. Anschliessend erfolgte die Entleerung, indem der Abfluss vollständig geöffnet wurde.

Das Vorgehen zur Abschätzung der Evapotranspiration erfolgte vergleichbar zu dem der Retentionswirkung. Die Steinwolle wurde kontrolliert gesättigt und vollständig entwässert. Anschliessend wurde der Ablauf geschlossen und ein transparentes Dach montiert, um den Aufbau vor Regen zu schützen. Der Versuch dauerte sieben Tage und wurde im Juni 2025 durchgeführt.

Ergebnisse

Im Labor führten die Prüfregen zu einer schnellen Wassersättigung und Entleerung der Steinwolle. Dabei schwankte die Entleerungsrate zwischen rund 50% des Wasservolumens bei langanhaltendem Kleinregen und 80% bei Starkregen. Auf die schnelle Entleerung folgte ein langsamer Abfluss. Am Ende der Versuche verblieben 5 bis 10% des Wassers in der Steinwolle. Dies entspricht der Wasserhaltekapazität.

Unter Einbaubedingungen wurde mittels zweier Abflusstests nachgewiesen, dass sich der Speicher innerhalb einer Stunde zu rund 70% entleert. Im Anschluss folgte eine langsame Entleerungsphase, bei der über 24 bzw. 44 Stunden weitere rund 15% des Wassers abflossen. Danach verblieben weitere rund 15% der zugegebenen Wassermenge in der Steinwolle. Die im Feld beobachtete Retentionswirkung übersteigt sogar die der reinen Steinwolle im Laborversuch. Es wird angenommen, dass die Einwurzelung, die etwas dichteren äusseren Seiten der Steinwolle und allenfalls eine geringfügige Kompaktion die Wasserhaltekapazität verbessert haben. Die ermittelte Wasserhaltekapazität reicht durchaus an Pflanzsubstrate heran, die in der Schwammstadt zum Einsatz kommen.

Über einen Zeitraum von sechs heissen Sommertagen verdunsteten durchschnittlich 7 mm pro Tag aus der Anlage, was einem Gesamtvolumen von rund 42 l entspricht. Dieser Wert stimmt mit der maximalen Evaporationsrate der Massenbilanz überein. Da die verdunstete Wassermenge die Wasserhaltekapazität des Substrats A2 um mehr als das Doppelte übertrifft, kann geschlossen werden, dass rund die Hälfte des verdunsteten Wassers aus der Steinwolle stammt. Dies unterstreicht die besondere Funktionalität der Steinwolle als Wasserreservoir für Pflanzen.

Durchwurzellung der Steinwolle

Vorgehen

Im Technikum der OST wurden die Pflanzen, das Substrat und die Steinwolle entfernt, um die Durchwurzelung und den Einbauzustand fotografisch zu dokumentieren. Die Steinwolle wurde segmentweise abgetragen.

Ergebnisse

Bemerkenswert war die schnelle und intensive Durchwurzelung. Bereits nach rund zwei Monaten waren die ersten Wurzeln in der Steinwolle an den Glaswänden sichtbar. Nach sieben Monaten hatten einige Arten die Steinwolle bereits bis zu einer Tiefe von 65 cm durchwurzelt. Mit zunehmender Tiefe nahm jedoch die Wurzeldichte ab. Einzelne Wurzeln, insbesondere bei Salvia glutinosa, erreichten einen Durchmesser von bis zu 5 mm und damit die grösste Wurzeltiefe. Aufgrund der intensiven Durchwurzelung mussten die Platten beim Ausbau zerschnitten werden.

Jede Pflanze hatte Wurzeln in die oberste Lage der Steinwolle ausgebildet (Fig. 10). Die Oberseite wies auf der ganzen Fläche Durchwurzelungen auf. Auch eine Einwurzelung und Durchwurzelung der Platten war zu beobachten, wobei Dichte und Tiefe von der Pflanzenart abhängig waren. Dickere Wurzeln (> 2 mm) wuchsen hauptsächlich in die Platte hinein, während sich dünnere Wurzeln eher als Wurzelnetz zwischen den Plattengrenzen ausbreiteten. Die luftgefüllten Zwischenräume bieten einen geringeren Widerstand als die Platten selbst. Zu sehen war auch, dass die Wurzeln in Faserrichtung wachsen. In Faserrichtung ist der Widerstand der Steinwolle ge-ringer.

Zu beachten ist, dass die Versuchsanlage sowohl in Bezug auf Frost als auch auf Hitze extremen Bedingungen ausgesetzt war. Bemerkenswert ist daher die hohe Vitalität der Bepflanzung während Trockenperioden, obwohl keine zusätzliche Bewässerung erfolgte. Dies ist auf die Steinwolle zurückzuführen, die eine gute Luft- und Wasserzufuhr gewährleistete und eine mechanische Verankerung der Wurzeln ermöglichte.

Hydraulische Veränderungen

Vorgehen

Nach Versuchsende im Feld wurden aus jeder der drei übereinander gestapelten Steinwolleplatten zwei Kernproben entnommen. Diese wurden hinsichtlich der gesättigten Wasserdurchlässigkeit, der Wasserhaltekapazität, der Kolmationsneigung und der Kapillarwirkung untersucht und mit neuer Steinwolle verglichen. Ziel der Untersuchung war es, mögliche Veränderungen durch die Betriebszeit durch eingeschwemmtes Feinmaterial oder durch Pflanzenwurzeln zu erfassen.

Ergebnisse

Beim Ausbau der Steinwolle zeigte sich, dass sich Feinmaterial in den vertikalen Fugen zwischen den Steinwollplatten sowie zwischen der Glaswand und der Steinwolle ansammelte. Ausserdem sammelten sich auf der obersten Steinwollschicht organische Bestandteile des Substrats an, da diese eine filterähnliche Wirkung hatte. Die untere Steinwollschicht wies hingegen keine sichtbare Veränderung durch Feinmaterial auf. Sie entsprach in Farbe, Textur und Festigkeit weitgehend der des Neuprodukts.

Die Kapillarwirkung der ausgebauten Steinwolle und des neuen AGUA-Produkts unterschied sich deutlich voneinander. So betrug der Kapillaraufstieg im ausgebauten Prüfkörper 3 bis 6 cm, was etwa zehnmal so hoch ist wie beim neuen Produkt. Zudem nimmt die Kapillarwirkung mit zunehmender Tiefe der eingebauten Steinwollelagen zu. Dies unterstreicht die Relevanz der Kompaktion, die in Summe zu einer leicht höheren Dichte führt [18]. Die mittlere Dichte der ersten Schicht beträgt 137 kg/m³,die der zweiten 139 kg/m3 und die der dritten 143 kg/m3. Die tiefste Steinwollschicht war auch deshalb noch mehrere Wochen nach dem Ausbau feucht. Eine Untersuchung ohne Auflast, die als «entspannter Zustand» bezeichnet wird, ergibt deshalb eine geringere Kapillarwirkung als im eingebauten Zustand. In einem ergänzenden Versuch mit neuer Steinwolle höherer Dichte (160 kg/m3) war die kapillare Aufstiegshöhe sogar doppelt so hoch wie bei der ausgebauten AQUA-Steinwolle. Hydrophob ausgerüstete Steinwolle, wie sie für die Gebäudedämmung verwendet wird, zeigte dagegen keine kapillare Wirkung, da sie wasserabweisend ist.

Die ermittelte gesättigte Wasserdurchlässigkeit von AGUA-Steinwolle beträgt bei kf von 1,53 × 10-3 m/s und liegt damit im Bereich von Grobsand und Kies. Durch den Einbau hat sich dieser Wert im Vergleich zum Neuzustand nicht verändert.

Planungshinweise für die Praxis 

Eine Abschätzung der Abflussminderung zeigt, dass sowohl die Reduktion des Abflussvolumens als auch die des Spitzenabflusses von der Wassersättigung des Systems vor Beginn des Regenereignisses abhängen. Daraus lässt sich folgern, dass beispielsweise bei einem Regen mit geringer Intensität und einer Vorsättigung der Steinwolle von 70% eine Reduktion des Abflussvolumens von etwa 20% zu erwarten ist. Bei einer Vorsättigung von 55% ist dagegen mit einer Reduktion des Abflussvolumens von rund 80% zu rechnen. Im Rahmen der Analyse wurden nur Regenereignisse mit einer Intensität von bis zu 6 mm/h berücksichtigt (n = 23). Bei Berücksichtigung von Regenereignissen mit höherer Intensität ist die Korrelation unzureichend.

Für die Planungspraxis ist es relevant, wie die Dimensionen einer potenziellen Anschlussfläche für spezifische Retentionsvolumina definiert werden. Diese Festlegung ist für die Auslegung von Bedeutung, da sie im Zusammenspiel mit dem standortbezogenen Bemessungsregen die Wassersättigung sowie potenzielle Überlaufsituationen bestimmt.

Daher wurde der Zusammenhang exemplarisch für einen Bemessungsregen (z1,10: 12 l/m2 in 10 min, Stadt St. Gallen) aufgezeigt (Fig. 11). Tritt ein solches Ereignis auf, resultiert dies bei einem Retentionsvolumen von 5 m3 und einer Anschlussfläche von 200 m2 in einer Wassersättigung von rund 50%. Wird die Anschlussfläche verdoppelt, erreicht das System eine vollständige Sättigung (100%). Die zugrunde liegende Beziehung verläuft linear.

Schlussfolgerungen 

Steinwolle erfĂĽllt mehrere Funktionen der urbanen Regenwasserbewirtschaftung und bietet darĂĽber hinaus neue Funktionen, die derzeitige Produkte nur selten aufweisen. Sie bildet eine BrĂĽcke zwischen reiner Regenwasserretention und langanhaltender Speicherung.

Ein wesentlicher Vorteil ist die Wasserretention, die durch die Dämpfung und Verzögerung von Abflüssen bedingt ist. Diese Eigenschaften sind auf das hohe Porenvolumen von mehr als 95% und die Wasserhaltekapazität von mindestens 10% des Materials zurückzuführen. Die Reduktion des Spitzenabflusses ist stärker ausgeprägt als die der Abflussmenge. Trockene Vorbedingungen verstärken diesen Effekt. Bei der direkten Einleitung von partikelreichem Niederschlagswasser ist jedoch eine Vorabscheidung wichtig, um einer Kolmation entgegenzuwirken.

Ein weiteres Merkmal ist, dass den Pflanzen das gespeicherte Wasser durch Einwurzelung und Kapillarität zur Verfügung steht. Ist die Steinwolle hydrophil, füllt das Niederschlagswasser nicht nur das grosse Porenvolumen auf, sondern es kann aufgrund der Kappilarwirkung auch wieder aufsteigen. Dabei gilt: Je höher die Materialdichte, desto weiter steigt das Wasser auf. Eine beständige Wasserversorgung, insbesondere während Trockenperioden, gewährleistet eine höhere Verdunstungsleistung und Pflanzenvitalität. Bestehende Retentionssysteme sind häufig hydraulisch geschlossen und für Wurzeln nicht zugänglich oder ihre Wasserhaltekapazität ist gering (Kiesrigole).

Die Evapotranspirationsrate steht im Zusammenhang mit der Wasserhaltekapazität bzw. der Materialdichte der Steinwolle. Ist ausreichend Wasser gespeichert, steht es den Pflanzen und dem Kapillaraufstieg zur Verfügung. Unter Berücksichtigung der hohen Porosität, die eine gute Luftzufuhr begünstigt, entwickelt sich in der Steinwolle eine ausgeprägte Durchwurzelung. Die Wurzeln entziehen der Steinwolle und dem Substrat das gespeicherte Wasser und tragen so zur Verdunstungskühlungbei.

Das Material setzt keine Schadstoffe frei, die das Gewässer verunreinigen könnten, und weist nur eine geringe Schadstoffbindung auf. In der Folge entsteht kein belastetes Material. Somit kann die Steinwolle nach ihrem Lebenszyklus wieder in den Materialkreislauf zurückgeführt werden. Für das Produkt liegt auch eine Europäische Umweltdeklaration EPD (Environmental Product Declaration) vor.

Gemäss dem Schweizer Gewässerschutzgesetz muss verschmutztes Niederschlagswasser vor der Versickerung gereinigt werden. Eine solche Behandlung vor der Retention in Steinwolle kann durch eine bewachsene Bodenschicht erfolgen, da der Boden die Schadstoffe zurückhalten soll [19]. In urbanen Räumen bieten sich auch Adsorberanlagen oder geeignete Pflanzsubstrate an [20, 21]. Solche Vorbehandlungen sind der Regenwasserretention vorzuschalten.

Das System «Schwyz», das aus einem Pflanzsubstrat mit Steinwolle besteht, ist besonders für Tiefgaragen sowie für Bereiche entlang von Trottoirs, Plätzen und Parkplätzen geeignet. Alternativ zum Substrat kann Boden verwendet werden oder die Steinwolle kann unter wasserdurchlässigen Belägen eingesetzt werden. Bei allen entsprechenden Aufbauten ist davon auszugehen, dass die partikulären Stoffe durch das Substrat, den Boden oder den Belag filtriert werden und die gelösten Schadstoffe gebunden werden. Aufgrund der guten Belüftung und Wasserversorgung der Wurzeln, die durch die Steinwolle gewährleistet wird, scheint bei einer grösseren Schichtmächtigkeit des Pflanzsubstrats auch eine Bepflanzung mit Sträuchern oder flach wurzelnden Bäumen möglich. Die zahlreichen Anwendungen im Ausland unterstreichen das Potenzial für das urbane Regenwassermanagement.

 

Bibliographie

[1] BAFU/ARE (2018): Hitze in Städten. Grundlage für eine klimaangepasste Siedlungsentwicklung. Umwelt-Wissen, BAFU Bundesamt für Umwelt, ARE Bundesamt für Raumentwicklung, Bern

[2] BAFU/ARE (2022): Regenwasser im Siedlungsraum – Starkniederschlag und Regenwasserbewirtschaftung in der klimaangepassten Siedlungsentwicklung. Umwelt-Wissen, BAFU Bundesamt für Umwelt, ARE Bundesamt für Raumentwicklung, Bern

[3] Bach, P. M. et al. (2021): Urbane Strategien zur Hitzeminderung. Wie wirksam sind blau-grüne Infrastrukturen? Aqua & Gas, 101(10): 20–25

[4] Burkhardt, M. et al. (2022): Schwammstadt im Strassenraum: Herausforderungen und Lösungen für blau-grüne Massnahmen. Aqua & Gas 102(10): 16–29

[5] Kuller, M. et al. (2017): Framing water sensitive urban design as part of the urban form: A critical review of tools for best planning practice. Environmental Modelling & Software 96: 265–282

[6] Probst, N. et al. (2022): Blue Green Systems for urban heat mitigation: mechanisms, effectiveness and research directions. Blue-Green Systems 4(2): 348–376

[7] Alim, M. A. et al. (2023): Experimental investigation of a multilayer detention roof for stormwater management. Journal of Cleaner Production 395: 136413

[8] Rowe, D. B.; Getter, K. (2022): Improving stormwater retention on green roofs. J. Living Archit. 9: 20–36

[9] Wang, M. et al. (2023): Comprehensive Performance of Green Infrastructure through a Life-Cycle Perspective: A Review. Sustainability 15(14): 10857

[10] De Rijck, G.; Schrevens, E. (1998): Distribution of nutrients and water in rockwool slabs. Scientia Horticulturae 72(3): 277–285

[11] Jørgensen, E. (1975): «Grodan» Stone Wool as Medium for Propagation and Culture. Symposium on Propagation in Arboriculture 54: 137–142

[12] Bjerggaard, A. (1977): Commercial carnation growing on rock wool mats in Denmark. Symposium on Carnations 71: 215–220

[13] Kostadinović, D.et al. (2022): Experimental investigation of summer thermal performance of the green roof system with mineral wool substrate. Building and Environment 21: 109061

[14] May, C.; Meili, M. (2025): Mit Steinwolle zur Schwammstadt – Dezentrale Regenwasserbewirtschaftung mit Flumroc-AGUA. Tagungsband, Aqua Urbanica 2025, Rapperswil

[15] Patrick, M.; Vermeirssen, E., Burkhardt, M. (2022): Auslaugung von Mineralwolle. Schlussbericht, OST – Ostschweizer Fachhochschule, Rapperswil, S.15

[16] SN EN 16637-2:2023 (2023): Bauprodukte – Bewertung der Freisetzung von gefährlichen Stoffen – Teil 2: Horizontale dynamische Oberflächenauslaugprüfung. SIA Schweizerischer Ingenieur- und Architektenverein, Zürich

[17] SNG CEN/TR 17105:2018-02 (2018): Bauprodukte – Bewertung der Freisetzung von gefährlichen Stoffen – Leitfaden für die Anwendung von ökotoxikologischen Untersuchungen auf Bauprodukte. DIN e. V., Berlin

[18] Mathys, S. (2025): Hydraulische Eigenschaften von Steinwolle für die Regenwasserretention. Studienarbeit, OST – Ostschweizer Fachhochschule, Rapperswil

[19] VSA (2019): Abwasserbewirtschaftung bei Regenwetter. Verband Schweizer Abwasser- und Gewässerschutzfachleute, Glattbrugg, Schweiz

[20] VSA (2023): VSA-Leistungsprüfung für Behandlungsanlagen. Verband Schweizer Abwasser- und Gewässerschutzfachleute, Glattbrugg, Schweiz

[21] AWEL (2025): Einsatz von Baumsubstraten in der Strassenentwässerung. Amt für Abfall, Wasser, Energie und Luft, Zürich

 

Danksagung

Das Projekt wurde vom Amt für Gewässer des Kantons Schwyz – Abteilung Gewässerschutz, der Flumroc AG, Abwasserverband Schwyz sowie der ARA-Schwyz unterstützt und finanziert. Wir danken insbesondere Philip Baruffa, Urs Peter Vonarburg und Miriam Ortheil (KtSZ AfG), Christoph Egli (Flumroc AG) sowie Jean-Claude Balmer und Alexander Föhn (Abwasserverband Schwyz, ARA-Schwyz) für ihre fachliche und logistische Begleitung. Ein besonderer Dank gilt auch Mark Krieger, Michael Patrick, Mirko Rohr, Gianluca Schmoll und Michael Schmid von der OST, Etienne Vermeirssen vom Oekotoxzentrum und Veerle Cloe von Econetta für ihre Unterstützung und Zusammenarbeit.

Kommentar erfassen

Kommentare (0)

e-Paper

«AQUA & GAS» gibt es auch als E-Paper. Abonnenten, SVGW- und/oder VSA-Mitglieder haben Zugang zu allen Ausgaben von A&G.

Den «Wasserspiegel» gibt es auch als E-Paper. Im SVGW-Shop sind sämtliche bisher erschienenen Ausgaben frei zugänglich.

Die «gazette» gibt es auch als E-Paper. Sämtliche bisher erschienen Ausgaben sind frei zugänglich.